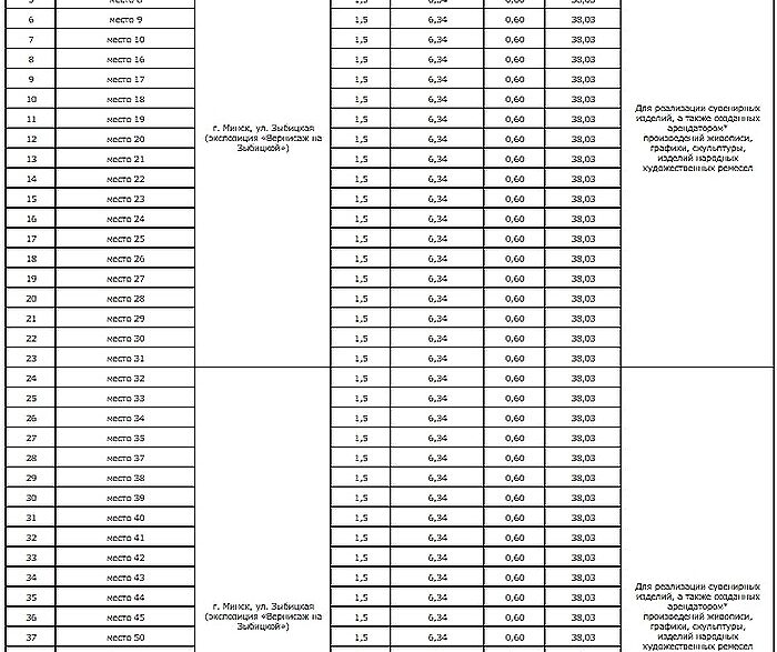
[Завершен] Открытый аукцион по продаже права заключения договоров аренды открытых площадок с покрытием, расположенных на землях общего пользования г. Минска, для реализации сувенирных изделий, произведений живописи, графики, скульптуры и изделий народных художественных ремесел
Государственное предприятие «МГЦН» 6 декабря 2019 г. проводит открытый аукцион по продаже права заключения договоров аренды открытых площадок с покрытием, расположенных на землях общего пользования г. Минска, для реализации сувенирных изделий, произведений живописи, графики, скульптуры и изделий народных художественных ремесел.
Подробнее об условиях проведения аукциона можно узнать здесь.
